Peer-to-Peer Standards Exchange

 ASCE 113 Substation Structure Design Guide Equation for Decrement Factor, Short Circuit Force

  • ASCE Standards
  • Other
Roger Barton's profile image
Roger Barton posted 10-02-2025 07:17 PM

Good Afternoon

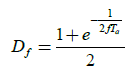
The Equation, in ASCE 113 2nd Edition, for determining values of Short Circuit Forces in Aluminum Rigid Bus in a Substation, is presented in Section 3.1.8.1, Eq. 3-38.  To account for partial decay of the DC component of the fault force a Decrement Factor, defined in Eq. 3-42, is specified to reduce the value to a more correct, realistic level.   Equation 3-42 is specifed as: Note that the value of the exponent is indicated to be -(1/2fc).  I have discovered that, prior to release of the 2nd Edition of ASCE 113, these same equations were presented in IEEE 605 (both IEEE 605-2008 and IEEE 605-2023).  In these documents, however, the Decrement Factor is specified as:

Note that, in this equation, the value of the exponent is   -1/(2fTa), rather than -(1/2fc).  The definition of Ta in IEEE 605 is exactly the same as the definition of c in ASCE 113 (a Time Constant).  The key difference is that all three terms (2, f, and Ta) of the IEEE Equation are in the denominator of the exponent whereas in the ASCE 113 equation, the (f and c) terms appear to be in the numerator.  I am reasonably certain that the IEEE Equation is correct but have come across real world instances where the equation was being interpreted the other way by engineers.  There is a very significant difference in the calculated value of the Short Circuit Force.  If anyone has any additional information or knowledge regarding this I would appreciate your input.  Thanks in advance.     

Tirza Austin's profile image
Tirza Austin

Thank you for posting your question on the Peer-to-Peer Standards Exchange. We noticed that an engineering colleague hasn’t responded yet, and we recognize how valuable timely input can be. In the meantime, you might find it helpful to explore Eaves (https://amplify.asce.org/eaves), our AI-powered assistant trained on ASCE AMPLIFY platform content—including ASCE 7, 41, 24, 73, and more.

During the beta phase, Eaves is available to you at no cost, with unlimited prompts and full-length responses.

It’s a great way to get quick, standards-based guidance while continuing the conversation with your peers.

George Watson's profile image
George Watson

Sorry for the late reply. The IEEE 605-2023 was published after ASCE 113, 2nd edition and we relied on the older version of 605 for most of what was in section 3.1.8.1. One of our committee members was on both committees and I will contact him for a better response.

In general, I would defer to IEEE 605-2023 equations for the decrement factor. FWIR, 605 has been very conservative over the past several versions and I believe they tried to be "more realistic" in the 2023 version. SCF is a very complicated dynamic loading and depends on when the fault is initiated on the Sine Wave. If you have the time and resources to create a full model of the bus, insulator, and support structure, and then apply a dynamic forcing function with the dynamic decrement from the EE's, you would get a better picture if the structure has time to respond before the load direction reverses with the sine wave and the extreme wind that caused the fault. After IEEE 605-2023 came out, I did a spreadsheet to compare the equations between 113 and 605 for the ELF method.

George Watson's profile image
George Watson

I dug into the Word Docx that was sent to ASCE when 113 was being published and the term 2fc should have been in parenthesis in the denominator. We used Word's equation editor which was used to publish Equation 3-42. This decrement factor was based on the older version of IEEE 605-2008 which has been updated in the newer version. I would recommend that users of ASCE 113, 2nd edition calculate the SCF using Equation 3-40, then go to IEEE 605-2023 and use that reduction factor which is based on many more factors than we used in 113. The Load Combinations in ASCE 113 Table 3-18 or Table 3-19 would be used on the substation structure. The bus design loads are covered in IEEE 605-2023 as well as the loads on the post insulator.

image